Plant Response to Abiotic Stress
Plants develop in environments characterized by continuous temporal and spatial variability. Fluctuations in water availability, temperature, soil chemistry, and nutrient supply impose persistent constraints on plant physiological function, growth, and productivity. As sessile organisms, plants cannot relocate to avoid unfavorable conditions and must instead rely on coordinated physiological, metabolic, and developmental adjustments to maintain homeostasis. As summarized by Tardieu et al. (2018), plant performance under stress reflects integrated regulation of water relations, carbon assimilation, and growth rather than the response of any single trait. Accordingly, abiotic stress, including drought, salinity, extreme temperatures, flooding, and nutrient imbalance, represents a dominant limitation on plant performance across natural and agricultural systems.
Abiotic stress rarely occurs as a single, isolated factor. Under current and projected climate change scenarios, plants are increasingly exposed to repeated, prolonged, or combined stresses. Tardieu et al. (2018) emphasize that plant responses depend on stress severity, timing, duration, and interaction with other environmental constraints. Similarly, Flexas et al. (2014) note that drought responses are strongly modulated by atmospheric conditions and developmental stage, challenging experimental approaches based on static treatments and endpoint measurements.
Physiological responses to abiotic stress are initiated well before visible symptoms appear. Flexas et al. (2014) showed that reductions in stomatal conductance and photosynthetic regulation precede detectable losses in biomass or yield. Tardieu et al. (2018) further demonstrated that early changes in transpiration and water use efficiency provide sensitive indicators of stress progression. Vadez et al. (2014) and Sadok and Sinclair (2011) reported that genotypic differences in stress tolerance are often associated with the stabilization of transpiration and growth under stress rather than stress avoidance.
Recovery dynamics following stress relief provide critical insight into functional resilience. Lovelli et al. (2010) demonstrated that genotypes differ in their ability to restore transpiration and photosynthesis after rewatering, even when final biomass is similar. Mishra et al. (2022) further emphasized that stress tolerance is linked to maintaining stable physiological trajectories during prolonged stress and coordinated recovery after stress alleviation.
Together, these studies highlight that understanding plant responses to abiotic stress requires continuous, high-resolution monitoring of physiological processes across the stress timeline. Dynamic measurements of water relations, gas exchange, and growth are essential for capturing early stress perception, adaptive regulation, and recovery capacity, which remain obscured by traditional endpoint-based approaches.

What Does Plant Response to Abiotic Stress Reveal About Plant Function Over Time?
Plant response to abiotic stress is best described as a temporal trajectory rather than a fixed phenotype. (1) Early responses typically include rapid changes in stomatal conductance, transpiration rate, and growth dynamics. These changes often occur within hours to days of stress onset and precede visible symptoms. (2) With prolonged stress, secondary responses emerge, including reduced photosynthetic capacity, altered carbon allocation, and constrained biomass accumulation. (3) Recovery following stress relief introduces an additional dimension, revealing differences in resilience that may not be captured by endpoint measurements.
Time-resolved studies demonstrate that early physiological signals can predict later stress outcomes. Tardieu et al. showed that drought responses are governed by continuous regulation of transpiration and growth long before irreversible damage occurs. As the authors note, “the response of plants to water deficit is determined by the timing and dynamics of physiological regulation rather than by stress intensity alone” (Tardieu et al., 2018). This reinforces the idea that tolerance emerges from controlled physiological adjustment rather than reduced exposure to stress.
Dynamic measurements further reveal critical thresholds, such as the point at which declining soil water content begins to constrain transpiration or when recovery capacity sharply decreases. Identifying these transition points is central to understanding plant function under stress and cannot be achieved using static or endpoint assessments alone.

What core physiological mechanisms underlie plant responses to abiotic stress?
Plant response to abiotic stress is governed by coordinated regulation of several core physiological processes. (1) Water relations are often affected first. Changes in soil water availability or atmospheric demand alter plant water status and trigger stomatal regulation, directly reshaping transpiration and gas exchange. (2) Photosynthesis is tightly coupled to these responses, as reduced stomatal conductance limits CO₂ diffusion while stress-induced damage constrains carbon fixation. (3) Growth regulation represents an active response, with reduced cell expansion and division serving to limit resource demand under unfavorable conditions.
Carbon allocation and biomass partitioning further shape stress responses. Plants may increase relative investment in roots under water or nutrient limitation, while reducing leaf area to limit transpirational demand. These shifts can be quantified using continuous, high resolution physiological measurements, such as those provided by the PlantArray system by Plant-ditech, which enables direct tracking of biomass dynamics, transpiration, and growth allocation over time. Redox balance also plays a central role. Reactive oxygen species act both as signaling molecules and as sources of cellular damage, requiring activation of antioxidant defenses. Hormonal signaling integrates these processes, with abscisic acid coordinating stomatal behavior, growth modulation, and stress acclimation.
Together, these processes define plant response to abiotic stress as an integrated physiological strategy that balances protection, resource conservation, and continued function, a balance that can only be fully resolved through dynamic, plant level phenotyping approaches.

How Does Genetic Background Shape Plant Response to Abiotic Stress?
Genetic background strongly influences both the magnitude and timing of physiological stress responses. Different genotypes exposed to identical stress conditions may adopt contrasting strategies, such as rapid stomatal closure and water conservation versus sustained growth with higher water use. These strategies reflect differences in signaling sensitivity, growth regulation, and metabolic flexibility.
Stress tolerance rarely maps to a single trait. Instead, it emerges from coordinated physiological trajectories over time. Comparative studies often show that genotypes with similar endpoint biomass or yield differ substantially in stress progression and recovery capacity. Genetic variation in recovery dynamics is increasingly recognized as a critical component of resilience, particularly under fluctuating environments. Dynamic physiological measurements therefore, provide a more informative basis for genotype comparison than static endpoints.

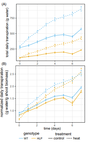
Figure Y. Daily transpiration of high lipid producing (HLP) vs wild type (WT) tobacco under control and heat stress, showing genotype-specific physiological response patterns (Murphy et al., 2025).

5. How Is Plant Response to Abiotic Stress Commonly Measured?
Despite the inherently dynamic nature of plant responses to abiotic stress, many experimental approaches continue to rely on static, indirect, or endpoint measurements. Visual scoring, destructive biomass sampling, imaging based proxies, and discrete molecular assays often capture stress outcomes rather than the physiological processes that govern stress perception, regulation, and recovery. As a result, critical transitions in plant function, such as early stress sensing, stabilization of physiological activity, threshold behavior, and post stress recovery, are frequently missed or underestimated.
Each of these approaches provides valuable information at specific scales, yet none alone can fully resolve the temporal progression of stress responses or the mechanisms underlying tolerance and resilience. This limitation has driven growing interest in physiological trait-based phenotyping approaches that directly and continuously measure plant function over time. By capturing dynamic changes in transpiration, growth, and resource allocation, physiological phenotyping enables a more mechanistic interpretation of plant response to abiotic stress and offers a framework for integrating molecular, morphological, and performance level data.

Table 1: Measurement Methods Comparison
| Method | What It Measures | Temporal Resolution | Throughput |
|---|---|---|---|
| PlantArray | Transpiration, biomass, water use, Stomata Condactence | Every 3 minutes | 500 per day |
| Visual scoring | Leaf wilting, chlorosis | Once per day/week | Limited |
| Destructive biomass | Dry weight, root:shoot ratio | Single endpoint | Limited |
| Imaging-based (RGB/thermal) | Canopy temperature, greenness | Hourly possible | Limited |
Why Is Physiological Trait-Based Phenotyping Essential for Plant Responses to Abiotic Stress?
Physiological trait-based phenotyping focuses on direct measurement of plant function, including transpiration, water use, stomatal conductance, and growth dynamics, captured continuously over time. These traits respond rapidly to environmental change and are closely linked to stress perception and response.
By capturing functional changes as they occur, physiological measurements reveal early stress signals, critical thresholds, and recovery dynamics that are often missed by imaging or endpoint approaches. Mishra et al. demonstrated that improved drought performance was associated with delayed physiological decline rather than reduced stress exposure, reinforcing the value of continuous functional monitoring.
Physiological phenotyping also strengthens interpretation by directly linking environmental conditions to plant performance, reducing reliance on indirect proxies and improving reproducibility.
Table 4: Traditional vs. Dynamic Phenotyping
| Capability | Traditional Methods | PlantArray Dynamic Phenotyping |
|---|---|---|
| Detect stress before visible symptoms | ❌ No | ✅ Yes – within minutes |
| Track recovery after stress | ❌ Limited | ✅ Continuous monitoring |
| Compare genotype strategies | ⚠️ Endpoint only | Comparison of genotypes in real time ✅ |
| Non-destructive | ❌ Often destructive | ✅ 100% non-destructive |
| Throughput for breeding | ⚠️ Low (manual) | ✅ High (automated) |
| Data reproducibility | ⚠️ Variable | ✅ Standardized |

In the image above: the PlantArray system and how it is used to measure plant physiological responses to abiotic stresses. Each plant is grown in an individual pot placed on a high-precision weighing lysimeter. The lysimeter continuously records changes in pot weight, while controlled irrigation is delivered through dedicated drippers and irrigation lines. A soil cover minimizes soil evaporation, ensuring that weight changes primarily reflect plant-driven water loss. Together with the drainage plug and water reservoir, this setup enables accurate separation of transpiration, water uptake, and drainage under defined abiotic stress conditions such as drought or salinity.
By continuously tracking weight changes over time and integrating them with irrigation inputs and environmental data from the weather station, the system captures real time physiological responses to abiotic stress. Reductions in transpiration reveal early stomatal regulation, while changes in daily and cumulative weight gain quantify growth dynamics and biomass accumulation. Because measurements are collected at high temporal resolution and at the level of individual plants, PlantArray resolves stress onset, physiological stabilization, threshold behavior, and recovery following stress relief. This integrated hardware and data framework enables direct, dynamic assessment of plant physiological responses to abiotic stresses that cannot be obtained from visual observations or endpoint measurements alone.
Table 2: PlantArray Technical Specifications
| Parameter | Specification |
|---|---|
| Measurement frequency | 500 measurements/plant/day |
| Weight resolution | ±0.1 g |
| Plants per system | Un limited |
| Supported pot sizes | 1L – 100L |
| Environmental integration | Temperature, humidity, PAR, VPD |
| Data output | CSV, API integration |
How Are Structure and Metabolism Linked to Physiological Adaptation in Plant Responses to Abiotic Stress?
Structural or metabolic traits can strongly influence physiological stress responses. Murphy et al. showed that altered leaf lipid composition reduced stomatal aperture, leading to lower transpiration and higher leaf temperatures under heat stress. As reported, “reduced stomatal conductance resulted in increased leaf temperatures and reduced CO₂ assimilation”. This study illustrates how biochemical traits affect stress outcomes through physiological pathways, reinforcing the need to measure function directly rather than inferring it from structure alone.
Plant Responses to Abiotic Stress: What Are the Thresholds and Recovery Dynamics?
In natural and agricultural environments, plants frequently experience combined or sequential stresses. Physiological responses to combined stresses are often non-additive. For example, stomatal closure under drought may limit transpirational cooling during heat stress, exacerbating thermal damage. Dynamic physiological measurements are particularly valuable in this context, as they allow researchers to track how plants prioritize competing demands over time.
In this context, the PlantArray system provides a powerful framework for studying plant responses to combined abiotic stresses by enabling continuous, plant level physiological monitoring over time. By simultaneously tracking whole plant transpiration, biomass accumulation, and growth dynamics, PlantArray captures non additive stress responses, critical threshold behaviors, and recovery trajectories that are difficult to resolve using snapshot measurements. This temporal resolution allows identification of when physiological regulation shifts from acclimation to failure, and how plants re prioritize water use, growth, and survival under interacting abiotic constraints.

How Can Experiments Be Designed to Resolve Plant Responses to Abiotic Stress?
Adopting a dynamic perspective on plant response to abiotic stress has important implications for experimental design. Stress experiments must be structured to capture temporal variation, including early response, stabilization, decline, and recovery phases. Sampling frequency becomes a critical parameter, as sparse measurements may miss key transitions in physiological behavior. Likewise, environmental control must be sufficiently precise to distinguish stress-induced responses from background variability.
From a data interpretation standpoint, dynamic physiological datasets require a shift away from single-value comparisons toward trajectory-based analysis. Parameters such as rate of change, timing of response initiation, duration of functional stability, and recovery slope provide richer insight than absolute trait values alone. These metrics enable researchers to compare stress strategies rather than outcomes, offering a more mechanistic understanding of tolerance and resilience.
Importantly, dynamic datasets also improve reproducibility across experiments. By focusing on functional responses rather than final states, researchers can better account for unavoidable variation in environmental conditions, plant size, or developmental stage. This strengthens cross-study comparison and facilitates meta-analysis of stress response traits.


Why Should We Rethink Plant Responses to Abiotic Stress?
The growing emphasis on time-resolved physiological measurements encourages a rethinking of how stress tolerance is defined in plant science. Rather than asking whether a plant performs well under stress at a single endpoint, a more informative approach is to examine how plants manage stress over time. This includes the timing of response initiation, the stability of physiological regulation, the avoidance of critical functional thresholds, and the efficiency of recovery once stress is relieved.
Such a functional definition aligns more closely with ecological performance and long-term productivity, particularly in environments characterized by intermittent or unpredictable stress. It also provides a clearer basis for trait selection in breeding and screening programs, where stability across variable conditions may be more relevant than maximal performance under a single stress scenario.
By shifting focus from static outcomes to physiological trajectories, plant response to abiotic stress can be interpreted as an integrated process that links environment, genotype, and development. This perspective strengthens mechanistic understanding and improves the relevance of stress research for future agricultural challenges.
Why Should Plant Responses to Abiotic Stress Be Rethought?
Advancing the study of plant response to abiotic stress requires research infrastructure capable of capturing physiological processes continuously and at high resolution. As highlighted throughout this article, dynamic measurements of whole-plant function are essential for identifying early stress responses, functional thresholds, and recovery dynamics that cannot be resolved through endpoint or indirect approaches.
Plant-ditech provides physiological trait based phenotyping solutions designed to support this level of analysis. By enabling continuous monitoring of plant water use, transpiration, growth dynamics, and functional stability under controlled and semi-controlled conditions, Plant-ditech systems allow researchers to quantify stress progression and recovery with precision. These capabilities support a wide range of applications, from fundamental studies in plant physiology to applied screening and crop improvement programs.
Importantly, integrating physiological phenotyping into abiotic stress research strengthens experimental design, improves reproducibility, and facilitates meaningful comparison across genotypes and environments. By focusing on direct measures of plant function, Plant-ditech helps bridge the gap between stress biology research and actionable insight for resilient crop development.
Table 5: Application Areas
| Application | What Researchers Measure | Example Research Question |
|---|---|---|
| Drought tolerance screening | Water use efficiency, wilting point | Which genotypes maintain growth under water deficit? |
| Salinity tolerance | Osmotic adjustment, ion exclusion | How quickly do varieties recover after salt stress? |
| Heat stress | Transpirational cooling, midday depression | Which lines maintain stomatal function under heat? |
| Combined stresses | Stress interactions, trade-offs | Does drought pre-treatment improve heat tolerance? |
Frequently Asked Questions
Why are endpoint measurements insufficient?
They miss early physiological shifts and recovery dynamics that often determine long-term performance.
Why focus on physiological traits?
They directly reflect plant function and respond rapidly to environmental change.
Are physiological traits stress-specific?
No. Core traits such as transpiration and growth respond to multiple abiotic stresses.
Can this approach scale to breeding programs?
Yes. Dynamic traits improve genotype discrimination and screening efficiency.
Mishra, R., Shteinberg, M., Shkolnik, D., Anfoka, G., Czosnek, H., & Gorovits, R. (2022). Interplay between abiotic (drought) and biotic (virus) stresses in tomato plants. Molecular Plant Pathology, 23(4), 475–488. https://doi.org/10.1111/mpp.13172
Murphy, K. M., Johnson, B. S., Harmon, C., Gutierrez, J., Sheng, H., Kenney, S., Gutierrez-Ortega, K., Wickramanayake, J., Fischer, A., Brown, A., Czymmek, K. J., Bates, P. D., Allen, D. K., & Gehan, M. A. (2025). Excessive leaf oil modulates the plant abiotic stress response via reduced stomatal aperture in tobacco
Yang, X., Liu, Y., Wu, Z., & Wang, Q. (2021). Response mechanism of plants to drought stress. Horticulturae, 7(3), 50. https://www.mdpi.com/2311-7524/7/3/50
Pirasteh-Anosheh, H., De Swaef, T., Steppe, K., & Van Labeke, M.-C. (2016). Stomatal responses to drought stress in plants. In B. T. Nguyen & T. K. Nguyen (Eds.), Advances in plant physiology (pp. 63–84). Wiley. https://onlinelibrary.wiley.com/doi/10.1002/9781119054450.ch3
Zhang, Y., Li, H., Yue, Z., Wang, Y., & Yuan, L. (2023). Plants’ response to abiotic stress: Mechanisms and strategies. Frontiers in Plant Science, 14, Article 115532. https://pmc.ncbi.nlm.nih.gov/articles/PMC10341657/
Muhammad, M., Farooq, M., & Shah, S. M. (2024). Soil salinity and drought tolerance: An evaluation of plant growth, productivity, microbial diversity, and amelioration strategies. Environmental and Experimental Botany, 214, Article 105559. https://www.sciencedirect.com/science/article/pii/S2667064X23001860
Saharan, B. S., Zafar, S. A., & Tuteja, N. (2022). Molecular and physiological mechanisms to mitigate abiotic stress in plants. Plant Physiology Reports, 27, 123–142. https://pmc.ncbi.nlm.nih.gov/articles/PMC9605384/
Sato, H., Makino, A., & Mae, T. (2024). Complex plant responses to drought and heat stress: Physiological and molecular perspectives. The Plant Journal, 104(1), 45–62. https://onlinelibrary.wiley.com/doi/10.1111/tpj.16612
Tardieu, F., Simonneau, T., & Muller, B. (2018). The physiological basis of drought tolerance in crop plants: A scenario-dependent probabilistic approach. Nature Plants, 4(6), 386–398. https://doi.org/10.1038/s41477-018-0146-7